PackedSpheres_ND

The function PackedSpheres_ND(Re: f,j_H) returns the friction factor (f), and Colburn j factor (j_H) for a well packed sphere matrix.
Inputs:
Re - reynolds number defined as follows:

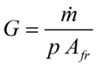
where,
,
,
and p is the porosity
Ouputs:
f - friction factor [-]
j_H - Colburn j factor defined as follows:

where,

Example:
Re=2000 [-]
call PackedSpheres_ND(Re: f,j_H)
{Solution:
f=0.4586
j_H=0.02352
}
Notes: This function is called by SpheresPacking to determine the friction factor and Colburn j factor. The data are based on experimental results found in Kays and London (1984) and also reported by Ackermann (1997)