LMTD_f
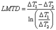
LMTD_f(DT_1,DT_2) returns the value of the log mean temperature difference for a counter flow or parallel flow heat exchanger with temperature differences DT_1 and DT_2 at the two ends. The log mean temperature difference is calculated according to:

Note that when DT_1 approaches DT_2, the value of the log mean temperature difference calculated aboves involves dividing by zero; this function protects against this issue.