STUDENTS_T
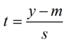
The Students_T function(t, degfreedom) returns the confidence level or probability that a value y is within a normally distributed distribution with mean m and estimate for the standard deviation s. The normal deviate of the value, t, is defined

If s is equal to the true standard deviation of the distribution, the probability Pn that y is within the distribution can be determined with a normal distribution provided by the Probability function as follows:
Pn=Probability(-t, t, 0, 1)
However, when the standard deviation is not known, an estimate for the standard deviation, s, is obtained from n observations. The mean is also determined from these observations, so that the degrees of freedom is then n-1. In this case, the probability is given by
Pt=Students_t(t,degfreedom)
Notes:
1. The probability is a value between 0 and 1 that corresponds to the shaded area c in the figure.

2. The Student_t function can be used in an inverse manner in which the the probability is specified and used to determine the t value, as shown in the example.
Example:
Determine the value of t that will result in a confidence level of 0.9 with 6 degrees of freedom.
P=0.9 "P is the confidence level"
df=6 "degrees of freedom"
P=Students_t(t,df) "t is determined from this function call"
P2=Probability(-t,t,0,1) "P2 the confidence level that would result if the degrees of freedom approaches infinity"
{Solution:
P2=0.948
t=1.943 }
See also: Probability